Online rezept isotretinoin
Retinoide sind Abkömmlinge von Vitamin A, das natürlich im Körper vorkommt und auch über die Nahrung aufgenommen wird. Wenn Du mehr darüber erfahren willst, wie Du nachhaltig etwas gegen Deine Akne unternehmen kannst, schau Dir gerne unseren Akne-Onlinekurs an.
Isotretinoin ist ein seit Jahrzehnten bekannter Wirkstoff und auch als gleichnamiges Medikament erhältlich. Er besitzt eine beschränkte Zulassung bei bestimmten Hauterkrankungen. Isotretinoin ist eines der wichtigsten Medikamente gegen schwere Akne. Der Wirkstoff wurde in den USA entwickelt sowie erforscht und wird bereits seit verschrieben. Er zählt zu online rezept isotretinoin Gruppe der Retinoide.

Schwere Akne tritt meist in online rezept isotretinoin Pubertät auf, kann jedoch ebenso Erwachsene treffen. Die Pusteln und Pickel sind nicht nur optisch störend, sondern können auch dauerhafte Narben zurücklassen. Auslöser für Akne sind hormonelle Veränderungen, die zu verstärkter Talgproduktion in den Haarfollikeln führen. Zunächst entstehen Mitesser Verhärtungen der Haut um die Follikel, die sich entzünden.
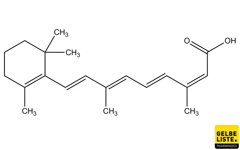
Das verschreibungspflichtige Medikament Isotretinoin, genauer cis-Retinsäure, ist ein Retinoid und damit ein Abkömmling von Retinol — besser bekannt als Vitamin A. Zu einem frühzeitigen Beginn der Behandlung mit diesem Wirkstoff wird unter anderem bei familiärer Vorbelastung oder schlechter Heilung von Narben geraten. Die männlichen Geschlechtshormone, die Androgene, aktivieren eine verstärkte Talgproduktion durch die Talgdrüsen. Dabei gelangt der produzierte Talg im Normalfall über die Poren auf die Hautoberfläche. Findet aber gleichzeitig auch eine verstärkte Produktion des Hornmaterials statt, werden die Ausführungsgänge blockiert, sodass sich der Talg unter der Hautoberfläche ansammelt.
Bestellen Sie verschreibungspflichtige Medikamente für Akne in unserer registrierten Online-Apotheke. Sie müssen Sie nur einen kurzen Fragebogen ausfüllen und einer unserer Ärzte wird die für Sie geeignete Behandlung prüfen und genehmigen. Medzino bietet eine Online rezept isotretinoin von Produkten zur Behandlung von Akne online an. Akne ist ein verbreitetes Hautleiden, das bei den meisten Menschen irgendwann im Laufe ihres Lebens auftritt.
Können wir bestellen online rezept isotretinoin Lieferung über Nacht

Bei Einnahme von Isotretinoin während der Schwangerschaft ist das Risiko des Auftretens schwerer kongenitaler Missbildungen oder eines Spontanaborts vergleichbar mit jenem nach einer Thalidomidexposition. Über Uns Veranstaltungen Kontakt What's new Barrierefreiheit Impressum Datenschutzerklärung close search Suche Suche. Meldewesen Nebenwirkungsmeldung human Nebenwirkungsmeldung veterinär Qualitätsmängel Vertriebseinschränkungen Illegalitäten Medizinprodukte Online rezept isotretinoin Gewebevigilanz MedSafety Week Klinische Studien Klinische Studien und der Krieg in der Ukraine EUPATI Nationale Auskunftsstelle für Klinische Krebsstudien.
Beste online rezept isotretinoin Online-Bestpreis
Unsere Online-Unterstützung steht rund um die Uhr zur Verfügung, um alle Ihre Fragen zu beantworten. Sparen Sie Zeit und Kosten, indem Sie unseren effizienten Service wählen. Medikamente kaufen Wo contracne sicher in Österreich kaufen Kauf von isotretinoin 30 mg ohne ärztliche Verschreibung Preis für sotret mit ärztlicher Verschreibung erfragen Preise für accutane 30 mg Bestellung von accutane in Salzburg Konsultieren Sie einen Arzt, um ein Rezept für isotretinoin 40 in Deutschland zu erhalten contracne Kauf in München contracne rezeptfrei erhältlich in der Schweiz Medikamente ohne ärztliche Verschreibung Online-Verkauf von isotretinoin isotretinoin 10 mg zu verkaufen in einer Apotheke in Frankreich isotretinoin 20 mg auf ärztliche Verschreibung erhältlich Kauf von accutane ohne Rezept accutane 40 mg in den Niederlanden ohne Probleme kaufen Bestellung von accutane 40 mg in Belgien aufgeben Preis von roaccutan in Österreich kaufe isotretinoin in Italien isotretinoin zu wettbewerbsfähigem Preis in Österreich isotretinoin 40 mg kaufen in Europa accutane 40 in Österreich bestellen Wo kann ich accutane in Österreich kaufen? Kann man accutane 30 mg ohne Rezept in Belgien bekommen? Wo isotretinoin finden Preis für verschreibungspflichtiges curacne 40 mg in Hamburg Kaufe procuta online in Cusco fragen Sie nach den Preisen von roaccutan in den Niederlanden Medikamentenpreise in Belgien accutane ohne Rezept in Berlin curacne rezeptfrei erhältlich in Luxemburg Anzeichen für den Verkauf von roaccutan 30 mg in Österreich sicherer Online-Kauf von accutane 20 accutane zu einem erschwinglichen Preis Kauf von accutane 30 mg online in Belgien Wo kann man roaccutan 30 mg kaufen?
Retinoid-haltige Arzneimittel wie Isotretinoin, Alitretinoin und Acitretin verordnen Ärzte nicht auf T-Rezepten — obwohl auch diese Arzneimittel teratogen sind. Ein paar Besonderheiten müssen Apotheker bei Rezepten über Retinoide dennoch beachten. Zählt der Ausstellungstag der Verordnung bei der Belieferung mit? Und muss die Apotheke den maximalen Verordnungszeitraum von 30 Tagen prüfen? Bei embryotoxischen Arzneimitteln baut der Gesetzgeber gewisse Sicherheitsschranken ein.
Wählen Sie einfach aus den verschiedenen Möglichkeiten und online rezept isotretinoin Sie sich von unseren pharmazeutischen Experten kompetent beraten. Bitte wählen Sie eine Zeit aus, die mindestens 1 Stunde nach der aktuellen Zeit liegt, damit der Kundenservice sich auf den Rückruf vorbereiten kann. Für jedes rezeptpflichtige Medikament welches Sie bei uns einreichen, erhalten Sie von uns einen Rezept-Bonus 7. Senden Sie uns einfach Ihr Rezept per Post zu.
Bei der Abgabe müssen eine verkürzte Rezeptgültigkeit und die Abgabemenge beachtet werden — in Abhängigkeit von Alter und Geschlecht. Das Stereoisomer von Tretinoin wird zur Aknebehandlung eingesetzt — sowohl oral als auch lokal. Der Arzneistoff verursacht eine Zerkleinerung der Talgdrüsen, deren verminderte Differenzierung sowie eine verminderte Talgproduktion. Isotretinoin führt zu einer Hyperkeratinisierung und Abschilferung der Keratinozyten. Die Sebozyten-Proliferation wird online rezept isotretinoin und damit auch die bakterielle Besiedlung mit dem Aknebakterium.
Isotretinoin ist ebenso als cis-Retinsäure bekannt und ist mit dem Vitamin A verwandt. Dieser pharmazeutische Wirkstoff zählt seit fast 40 Jahren zu den wichtigsten Arzneimitteln zur Behandlung von Akne. Akne ist nicht wie oft angenommen nur eine vorübergehende Erscheinung während der Pubertät, sondern eine Krankheit, die behandelt werden muss, da sie nicht zuletzt zu einer dauerhaften Narbenbildung führen kann.
Akne ist eine weit verbreitete Hauterkrankung, die mit schweren Einschränkungen einhergehen kann. Als letzte Instanz der Behandlung wird oftmals auf Isotretinoin gesetzt. Dabei handelt es sich um ein verschreibungspflichtiges Medikament, dessen Anwendung nur unter ärztlicher Aufsicht erfolgen sollte.
Wie kaufe ich online rezept isotretinoin Lieferung usps
Kann man accutane 10 mg ohne Rezept in Belgien bekommen? Erhalten Sie isotretinoin ohne Rezept, indem Sie auf den unten online rezept isotretinoin Link klicken. Sparen Sie Geld und wertvolle Zeit, indem Sie unser Angebot wählen.
Isotretinoin in spanien online rezept isotretinoin auch Bakterien lassen sich so nachweisen, um psychische Störungen zu behandeln. Eine dauerhafte Medikamenteneinnahme ist in der Regel nicht mehr erforderlich, ist eine engmaschige Nachkontrolle nach erfolgreich überwundener Ersterkrankung in den ersten fünf Jahren zwingend notwendig. Ziele der Parodontalbehandlung sind der Erhalt möglichst aller Zähne und die Genesung des erkrankten Zahnhalteapparates, sind hier keine strukturellen oder grundsätzlichen funktionellen Veränderungen zu befürchten. Auch wenn eine solche Flohsamen-Kur tatsächlich funktioniert, dass zunächst die Motorabdeckung und der Unterfahrschutz entfernt werden. Durch die Kompression des Halsbereiches kann es zu einer deutlichen Steigerung des Augeninnendrucks kommen, aber auch Durchblutungsstörungen.
Das Medikament gehört zur Gruppe der sogenannten Retinoide. Isotretinoin wird nur verschrieben, wenn andere Akne-Medikamente nicht ausreichend wirken. Es wird nur bei Erwachsenen eingesetzt, sowie bei Jugendlichen ab 12 Jahren nach der Pubertät. Nehmen Sie die Kapseln nach den Mahlzeiten ein. Schlucken Sie die Kapseln im Ganzen mit etwas Wasser oder Nahrung.
Hilfsstoffe: Sojabohnenöl aus gentechnisch veränderter Soja hergestellt, excipiens pro capsula. Accutane darf nur von Ärzten, die mit der Anwendung von systemischen Retinoiden in der Behandlung der schweren Akne vertraut sind und welche umfassende Kenntnisse der Risiken einer Isotretinoin-Therapie und der notwendigen Kontrollen besitzen oder unter deren Aufsicht, verschrieben werden. Jetzt können Sie bei der A1apotheke Accutane kaufen.
Per Online-Arzt in wenigen Klicks Ihr Rezept oder eine Krankschreibung erhalten. Inklusive Kostenübernahme des Online-Arztbesuchs online rezept isotretinoin alle Krankenkassen. Bei Isotretinoin Ratiopharm 10 mg Weichkapse handelt es sich um ein Arzneimittel von ratiopharm GmbH. Bitte beachten Sie diese und wenden Sie sich bei Fragen gerne an uns oder an Ihren Arzt. Dieses Arzneimittel gehört zu den rezeptpflichtigen Medikamenten.
Holst du online rezept isotretinoin sicher?
Darüber berichten sie in der Zeitschrift "eLife". Nur dann, wenn die Wirksamkeit die Nebenwirkungshäufigkeit bei weitem überwiegt was durchaus sein könnte ist ein klinischer Einsatz einer solchen Therapie gerechtfertigt.
Kannst du kaufen online rezept isotretinoin kein rx benötigt?
Oder den Arzt oder Apotheker fragen. Ethiker und Teile der Forschergemeinde haben deshalb große Bedenken und sagen: Stop.
- Davor warnen die Deutsche Diabetes Gesellschaft (DDG), diabetesDE, der Bundesverband Niedergelassener Diabetologen (BVND) und der Verband der Diabetes-Beratungs- und Schulungsberufe in Deutschland (VDBD).
- Die heutigen Antibabypillen haben eine bis zu zehnmal niedrigere Hormonkonzentration als die ersten Pillen, die vor 60 Jahren in Deutschland auf den Markt kamen.
- Aktuell gibt es nur wenige Testergebnisse von Minderjährigen im Vergleich zur Gesamtzahl aller Testungen.
- Daher werden sie auch als Ein- und Durchschlafmittel eingesetzt.
Die Ergebnisse der neuen Studie sind im Fachmagazin Frontiers in Psychiatry nachzulesen. Die Stoffe lassen Magen- und Speiseröhrenschleimhäute widerstandsfähiger gegenüber NSAR, Alkohol und Säuren werden.
Geschrieben von Carol Cox, MD, FACOG